A Finance Student's Notes

A blog from an MSc student. This blog is the collection of my notes whilst stduying my exams. There is no guarantee for the validity of any content. Most of the content has been taken from other external websites.

Advices for Financial Managers on Mergers and Acquisitions

›
All financial mangers have to face with followings: Antitrust Law: Merged companies have to make sure that they are not lessening the com...
1 comment:

Incentives for Mergers and Acquisitions

›
Followings are incentives for financial managers for mergers and acquisitions: Economies of Scale: Economies of scale characterizes a pro...
1 comment:

Adjusted Present Value (APV)

›
There is no argument that WACC is the most widely used method to asses the overall cost of capital to judge business whether it is profitabl...
1 comment:

T tests on Regression Equations

›
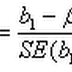
One of the advantages of the regression equations is that we can run t tests on the individual regression coefficients. t tests help us to d...
1 comment:

Regression Model for Exposure Estimation

›
Adler and Dumas defined exposure elasticity as the changes in the market value of a firm with respect to the change in exchange using follow...

Strengths and Weaknesses of Ratio Analysis

›
Ratio analysis can reveal most of the information about the company when it is used effectively. An analyst must be aware of the strengths a...
12 comments:

Analysing Company with Financial Ratios

›
Profitability Profitability is "the ability for a company to earn satisfactory profit so that the investors and shareholders will con...
1 comment:

Binomial Option Pricing Model

›
Another options valuation model developed by Cox, et al, in 1979.  The binomial option pricing model uses an iterative procedure, allowing f...
5 comments:

Tax Types & Descriptions

›
HM Revenue & Customs collects tax to pay for public services. Each year the Chancellor's Budget sets out how much it'll cost to ...

Agency Costs

›
Shareholders, bondholders, employees, customers, management, suppliers, etc. All of these are called stakeholders. Much debate as to which g...

Market Timing Hypothesis

›
The market timing hypothesis was first introduced by Wurgler and Baker in the year of 2004. It states that firms look for the cheaper type o...

Internal Rate of Return (IRR)

›
Mathematically the IRR is defined as any discount rate that results in a net present value of zero of a series of cash flows. If the inter...

Working capital

›
Working capital is the difference between current assets and current liabilities and simply calculated by Working capital  = current asset...
2 comments:

Capital Management Decisions

›
Following beautifully written text has been taken from here . So if you wonder where the origin is please refer to there. ... Decisions ca...
2 comments:

Arbitrage Pricing Theory (APT)

›
This is one of which the two prevailing theories that try to explain valuation of assets. The other is Capital Asset Pricing Model which can...

Opportunity Cost

›
If an investor has alternative projects but has a limited resources one or some of them have to preferred over the others. In such cases the...
2 comments:

How is the leverage used to make profit?

›
Private equity firms typically use leverage (debt) to increase the return on the firm's invested capital. The amount of leverage employe...
1 comment:

The comparison between private equity and debt as a capital resource

›
Obtaining private equity is very different from raising debt or loan from a lender, such as a bank. Lenders have legal right to interest on ...

Private Equities

›
Private equities are equity securities of unquoted companies (companies that have not listed their stock on a public exchange). They provide...

Types of Investment Risk

›
In general terms investors who are in favour of risking their investments in pursuit of gaining more returns use equity type of securities. ...

Investment Appraisal Techniques

›
Most businesses have a choice of a range of investment projects and they need to have a basis for comparing them to evaluate which is the ...

The Advantages of Accruals Accounting

›
As seen from the examples above the accrual accounting is more accurate in terms of assessing financial position of company since it matches...
3 comments:

Differences Between Cash Accounting and Accruals Accounting

›
There are two main methods of accounting used in the business: cash accounting and accruals accounting. The basic difference is the timing o...
2 comments:
›
Home
View web version

About Me

Cem Sezer
View my complete profile
Powered by Blogger.